----------------------
مدونة إزرع | إيچي أجري إنفورماتيكس
Egyagriinformatics | إزرع | معاً أنت تزرع
الرئيسية »
نظم GRC الحوكمة | المخاطر | التوافق
----------------------
Global Farm Management Software Market Insights Forecasts to 2032
Global Farm Management Software Market Size, Share, and COVID-19 Impact Analysis, By Application (Precision Farming, Livestock, Aquaculture, Forestry, and Smart Greenhouses), By Offering (On-cloud, On-premise, Data Analytics Services), By Farm Size (Small, Medium, and Large), and By Region (North America, Europe, Asia-Pacific, Latin America, Middle East, and Africa), Analysis and Forecast 2022 - 2032
Global Farm Management Software Market Insights Forecasts to 2032
- The Global Farm Management Software Market Size was valued at USD 2.7 Billion in 2022.
- The Market is Growing at a CAGR of 10.9% from 2022 to 2032
- The Worldwide Farm Management Software Market Size is expected to reach USD 7.6 Billion by 2032
- Europe is expected to Grow the fastest during the forecast period
- The Global Farm Management Software Market is projected to exceed USD 7.6 Billion by 2032, Growing at a CAGR of 10.9% from 2022 to 2032. The increasing farming operations and the increasing requirement for real-time data for decision-making are fueling the growth of the farm management software market. Precision farming, livestock monitoring, precision aquaculture, smart greenhouse, vertical, as well as indoor farming practises all use artificial intelligence and machine learning. Rapid growth in urbanisation and rising population, combined with water scarcity issues and rising climate change, are driving factors in this market.
Market Overview
The farm management software market is a growing sector within the agriculture industry. Farm management software is a type of computer program that helps farmers manage and track their farming operations. This can include tracking inventory, managing crop yields, monitoring soil conditions, and predicting weather patterns. The market for farm management software is being driven by a number of factors, including the increasing demand for food production, the need for efficient farm management practices, and the growing adoption of precision agriculture techniques. In addition, the rise of IoT (Internet of Things) technologies is enabling farmers to collect and analyze data from their farms in real-time, which is driving demand for more advanced farm management software solutions.
Key players in the farm management software market include AgJunction, AgriSight, Deere & Company, Granular, and Trimble Inc. These companies are focusing on product innovation, strategic partnerships, and acquisitions to gain a competitive advantage in the market. For instance, AGRIVI partnered with Agrowex in January 2023 to provide premium digital agriculture solutions to South African countries. AGRIVI's digital agriculture solutions, combined with AGROWEX's knowledge and presence, are projected to fuel the digital agriculture transformation in countries such as Mozambique, Botswana, South Africa, Namibia, Lesotho, Angola, Zambia, Malawi, Swaziland, and Zimbabwe.
In Addition, governments are also taking steps to encourage the use of modern agricultural technologies. For example, the UK Department for Environment, Food and Rural Affairs (Defra) and UK Research and Innovation collaborated in October 2021 to launch a funding programme aimed at driving the implementation of novel technologies in the farming industry in order to improve farmer profitability.
The farm management software market is expected to continue growing in the coming years, as farmers seek to improve their efficiency and productivity through the use of advanced technologies.
Report Coverage
This research report categorizes the market for the global farm management software market based on various segments and regions and forecasts revenue growth and analyzes trends in each submarket. The report analyses the key growth drivers, opportunities, and challenges influencing the farm management software market. Recent market developments and competitive strategies such as expansion, product launch, and development, partnership, merger, and acquisition have been included to draw the competitive landscape in the market. The report strategically identifies and profiles the key market players and analyses their core competencies in each sub-segment of the farm management software market.
Global Farm Management Software Market Report Coverage
| Report Coverage | Details |
|---|---|
| Base Year: | 2022 |
| Market Size in 2022: | USD 2.7 Bn |
| Forecast Period: | 2022 – 2032 |
| Forecast Period CAGR 2022 – 2032 : | 10.9% |
| 022 – 2032 Value Projection: | USD 7.6 Bn |
| Historical Data for: | 2018-2021 |
| No. of Pages: | 200 |
| Tables, Charts & Figures: | 105 |
| Segments covered: | By Application, By Offering, By Farm Size and By Region. |
| Companies covered:: | Trimble Inc, Deere & Company., Aker Solutions, Reed Business Information Ltd, Farmers Edge Inc, AgJunction, AgriData Incorporated., DICKEY-john., AGRIVI, Raven Industries, AgEagle Aerial Systems Inc., The Climate Corporation, Granular Inc, Topcon, Relex Group, Others. |
| Pitfalls & Challenges: | COVID-19 Empact, Challenge, Future, Growth, & Analysis |
Driving Factors
As the world's population continues to grow, the demand for food is increasing rapidly. This is driving farmers to adopt new technologies that can help them increase their crop yields and efficiency. Precision agriculture is a farming technique that uses technology to optimize crop yields and reduce waste. Farm management software is a key component of precision agriculture, as it provides farmers with the data, they need to make informed decisions about planting, fertilizing, and harvesting crops. As farms become larger and more complex, there is a greater need for efficient management practices. Farm management software helps farmers manage their operations more effectively, by providing real-time data on crop yields, soil conditions, weather patterns, and other important factors.
The Internet of Things (IoT) is a network of devices that are connected to the internet and can communicate with each other. IoT technologies are being used in agriculture to collect data from sensors and other devices on the farm. Farm management software helps farmers analyze this data and use it to make better decisions. Governments around the world are providing support for the adoption of advanced farming technologies, including farm management software. This support includes funding for research and development, as well as incentives for farmers to adopt new technologies. These are the primary drivers expected to drive the farm management software market during the forecast period.
Restraining Factors
Farm management solutions, according to the majority of farmers, are not cost-effective, and the costs for hardware, software, and integration services are prohibitively expensive. GPS-enabled devices for navigation and mapping applications are expensive, and integrating guidance and sensing devices with farm management software and databases necessitates significant upfront investment. Because farmlands are fragmented and the number of marginal farmers is high in developing countries such as China, Japan, and India, the impact of this restraining factor is significant. Farmers must pay an additional fee for the integration of software with hardware devices, as well as for additional consultation, in order to use these software solutions, which are complex to use. The expense of farm management devices and software is thus projected to limit the expansion of the farm management software market.
Market Segmentation
The Global Farm Management Software Market share is classified into application, offering, and farm size.
- The precision farming segment is expected to dominate the global farm management software market over the forecast period.
The global farm management software market is classified into precision farming, livestock, aquaculture, forestry, and smart greenhouses. Over the forecast period, the precision farming segment is projected to dominate the global farm management software market. The reason for the increase relates to rising food demand due to the rapid increase in population has led many farmers to turn to farm management software and other precision farming techniques. This segment includes software used to manage precision farming practices such as soil mapping, yield monitoring, crop scouting, variable rate application, and irrigation management. This segment is expected to grow at a significant rate due to the increasing demand for high crop yields and efficient resource management.
- The On-cloud segment is expected to hold the largest share of the global farm management software market during the predicted period.
The global farm management software market is divided into three segments based on their offerings: on-cloud, on-premise, and data analytics services. Among these, the On-cloud segment is expected to hold the largest share of the global farm management software market during the predicted period. The growth in the On-Cloud segment can be attributed to the advantages of cloud deployment such as scalability, cost-effectiveness, and ease of access. This segment includes farm management software that is deployed and hosted on cloud servers. The software can be accessed from anywhere with an internet connection and is maintained by the software provider. This segment is expected to grow due to the increasing demand for remote access and scalability.
- The medium size farms segment is expected to hold the largest share of the global farm management software market over the study period.
Based on the farm size, the global farm management software market is segmented into small, medium, and large. Among these, the medium size farms segment is expected to hold the largest share of the global farm management software market over the study period. The growth in the Medium Size Farms segment can be attributed to the increasing adoption of farm management software among small and mid-sized farmers who are looking to improve their productivity and profitability.
Regional Segment Analysis of the Global Farm Management Software Market
- North America (U.S., Canada, Mexico)
- Europe (Germany, France, U.K., Italy, Spain, Rest of Europe)
- Asia-Pacific (China, Japan, India, Rest of APAC)
- South America (Brazil and the Rest of South America)
- The Middle East and Africa (UAE, South Africa, Rest of MEA)
The North America is anticipated to hold the largest share of the global farm management software market during the forecast timeframe. The growth in these regions can be attributed to the increasing demand for precision farming practices and the need for sustainable agriculture practices. Region includes the United States and Canada, and it is one of the leading regions in terms of the adoption of advanced technologies in agriculture. The growth in the North American region can be attributed to the increasing demand for precision farming and sustainable agriculture practices.
Europe is expected to grow at the fastest rate in the global farm management software market during the period of study. The growth in the European region can be attributed to the increasing demand for efficient resource management and compliance with environmental regulations. The European Union (EU) has set ambitious targets to reduce greenhouse gas emissions, increase renewable energy, and promote sustainable agriculture practices. This has resulted in the adoption of precision farming practices, which require the use of advanced farm management software. The EU has also provided funding for research and development in precision agriculture, which has boosted the growth of the farm management software market.
Competitive Analysis:
The report offers the appropriate analysis of the key organizations/companies involved within the global farm management software ingredients along with a comparative evaluation primarily based on their product offering, business overviews, geographic presence, enterprise strategies, segment market share, and SWOT analysis. The report also provides an elaborative analysis focusing on the current news and developments of the companies, which includes product development, innovations, joint ventures, partnerships, mergers & acquisitions, strategic alliances, and others. This allows for the evaluation of the overall competition within the market.
List of Key Companies
- Trimble Inc
- Deere & Company.
- Aker Solutions
- Reed Business Information Ltd
- Farmers Edge Inc
- AgJunction
- AgriData Incorporated.
- DICKEY-john.
- AGRIVI
- Raven Industries
- AgEagle Aerial Systems Inc.
- The Climate Corporation
- Granular Inc
- Topcon
- Relex Group
- Others
Key Target Audience
- Market Players
- Investors
- End-users
- Government Authorities
- Consulting And Research Firm
- Venture capitalists
- Value-Added Resellers (VARs)
Recent Developments
- In January 2023, Cropin, an agtech company best known for developing the first agricultural industry cloud, has announced that its farm digitization software, Cropin Grow, is now available on the Amazon Web Services (AWS) Marketplace. Cropin Grow intends to use technology to address real-world agricultural issues such as connectivity, climate change, supply chain disruptions, food waste, and food security. Cropin Grow empowers industry stakeholders to manage risks, increase productivity, maximise revenue and profit, and optimise resources by making every farm asset traceable, predictable, and sustainable. This platform is used by businesses, governments, and development organisations to provide value to all stakeholders in the food value chain.
- In March 2023, Bushel Farm, the next generation in farm management software for farmers and their agribusiness partners, has been launched by Bushel Inc., an independently owned software company. The new offering relieves farmers of the burden of manual data entry while also providing valuable grain marketing insights. Bushel Farm, which is based on the company's FarmLogs solution, provides a robust feature set in both mobile and desktop experiences while maintaining an easy-to-use design.
- In December 2022, AKVA Fusion targets to connect all aspects of the sector, both new and old, and to establish an entirely novel standard for cross-platform communication, control, and data collection. The AKVA ecosystem enables a set of APIs that enable seamless integration across industry solutions via AKVA Fusion. The APIs allow AKVA Fishtalk and 4th generation AKVA link to be integrated with other digital solutions.
- In November 2022, AGRIVI introduced Field Ops, a new module designed to provide a comprehensive overview of a farmer's fields, including growth, nutrition, yield, and harvest.
Market Segment
This study forecasts revenue at global, regional, and country levels from 2020 to 2032. Spherical Insights has segmented the Global Farm Management Software Market based on the below-mentioned segments:
Global Farm Management Software Market, By Application
- Precision Farming
- Livestock
- Aquaculture
- Forestry
- Smart Greenhouses
Global Farm Management Software Market, By Offering
- On-cloud
- On-premise
- Data Analytics Services
Global Farm Management Software Market, By Farm Size
- Small
- Medium
- Large
Global Farm Management Software Market, By Region
- North America
- US
- Canada
- Mexico
- Europe
- Germany
- Uk
- France
- Italy
- Spain
- Russia
- Rest of Europe
- Asia Pacific
- China
- Japan
- India
- South Korea
- Australia
- Rest of Asia Pacific
- South America
- Brazil
- Argentina
- Rest of South America
- Middle East & Africa
- UAE
- Saudi Arabia
- Qatar
- South Africa
- Rest of Middle East & Africa.
Mango breeding
Mango breeding is the process of developing new mango cultivars with desired traits, such as improved fruit quality, disease resistance, and yield. There are two main methods of mango breeding:
- Hybridization: This involves crossing two different mango cultivars to produce a new hybrid. The hybrid will inherit traits from both parents, and the breeder can select for the desired traits.
- Mutation breeding: This involves exposing mango seeds to mutagens, which are agents that can cause mutations in the DNA. These mutations can lead to new traits, which can then be selected for by the breeder.
The process of mango breeding is long and complex, and it can take many years to develop a new cultivar. However, the benefits of mango breeding can be significant, as it can lead to the development of new cultivars that are more resistant to pests and diseases, have better fruit quality, and are more productive.
Here are the steps involved in mango breeding:
- Select the parents: The first step is to select two mango cultivars that have the desired traits. The parents should be compatible, meaning that they can produce viable offspring.
- Cross the parents: The parents can be crossed by hand pollination or by natural pollination.
- Grow the seedlings: The seeds from the cross will produce seedlings. The seedlings will need to be grown in a nursery for several years before they can be evaluated for their traits.
- Evaluate the seedlings: The seedlings will need to be evaluated for their traits, such as fruit quality, disease resistance, and yield. The seedlings with the desired traits will be selected for further breeding.
- Repeat the process: The process of mango breeding can be repeated to develop new cultivars with even better traits.
Here are some tips for mango breeding:
- Use a variety of parents to increase the genetic diversity of the offspring.
- Select parents that are compatible and that have the desired traits.
- Grow the seedlings in a nursery for several years before evaluating them.
- Evaluate the seedlings for their traits carefully.
- Repeat the process to develop new cultivars with even better traits.
Mango breeding is a complex process, but it can be a rewarding one. By following these steps, you can help to develop new mango cultivars that are better suited for your needs.
إنتاج الفلفل تحت الصوب البلاستيكية
إنتاج الفلفل تحت الصوب البلاستيكية
نشرة إنتاج الفلفل تحت الصوب البلاستيكية من النشرات المميزة إصدار مشروع الزراعات المحمية بالدقى الذى بدأ في الثمانينات بغرض دعم المزارعين وشباب الخريجين من أجل التوسع في إنشاء الصوب الزراعية، النشرة تضم الأساسيات العامة للإنتاج ويراعى عند الاستعانة بالنشرة التغيرات التى طرأت في المبيدات المسجلة بها في مكافحة آفات محصول الفلفل داخل الصوبات.
كتاب الكيمياء الزراعية التربة والعناصر المغذية
كتاب الكيمياء الزراعية التربة والعناصر المغذية الهامة للنبات
إنضاج وطهي الطماطم المصابة باللفحة
| ||||||||||||||||||||
| ||||||||||||||||||||
| ||||||||||||||||||||
| ||||||||||||||||||||
| ||||||||||||||||||||
| We're real gardeners who care about your rights! See our Privacy Policy for details. © Growing Interactive Ltd 2022. |
عنصر النحاس وفسيولوچيا وتغذية النبات
عنصر النحاس وفسيولوچيا وتغذية النبات
أكتشفت الأهمية الحقيقية لعنصر النحاس في
تغذية النبات بصورة ملموسة في ثلاثينيات القرن الماضي وتم تفسير أعراض نقصه
وأهميته داخل النبات في أربعينيات نفس القرن إلا أن اكتشاف أعراضه كان قديماً في
القرن الثامن عشر في هولندا وتم تشخيصه كمرض أمكن تخفيف أعراضه بإضافة مخلوط بوردو
رشاً أو سلفات النحاس من خلال التربة في مراحل لاحقة، وسوف نتعرض بالمقال إلى
جوانب هامة لعنصر النحاس وأهميته في فسيولوجيا وتغذية النبات فيما يلي:
- محتوى النبات من النحاس وأشكاله:
يحتاج النبات النحاس بكميات قليلة مثله مثل
باقى العناصر الصغرى وتتراواح النسبة المثالية لتركيزه من 2 إلي 30 جزء بالمليون
من الماد الجافة ويختلف مستوى تلك النسبة تبعاً لنوع النبات ودرجة قلوية التربة
ونوعيتها بل وقد تختلف من صنف لآخر كما ثبت في أصناف القمح ومن نوع نباتى لآخر حيث
وجد في نبات الكرفس مثلاً حساسيته لنقص العناصر الصغرى ومنها النحاس مما يعتبر
مؤشراً يمكن الاستدلال به في حال وجود نقص في إدمصاص تلك العناصر، والنحاس يتم
إمتصاص لداخل النبات إما عن طريق الأوراق أو الجهاز الوعائي للجذور في صورة جزئ
نحاس منفرد ثنائي الشحنة الموجبة Cu+2 أو معقد
عضوى كما في صورة المخلبيات Cu-EDTA ويعتبر
النحاس من العناصر الغذائية البطيئة
الحركة إلا أنه قد ينتقل من الأعضاء النباتية الأكبر سناً إلى الأصغر سناً في ظروف معينة تبعاً لحالته ودرجة النقص الحادثة إلا أنه
بصورة عامة غير متحرك، ويتواجد النحاس بتركيز كبير في الأوراق الخضراء
بالميتوكوندريا ويتواجد أيضاً في البذور
- وظائف عنصر النحاس في النبات:
![]() |
| أكسدة واختزال عنصر النحاس |
- إنزيمات النحاس والعمليات التي تتداخل
فيها:
عنصر النحاس من العناصر الهامة في عمل
مرافقات الإنزيمات coenzyme المسماه
بالميتالوإنزايمز (والتي في تركيبها ذرات معدنية metallo-enzymes) والتي لها
دور هام في العمليات الحيوية والبناء داخل خلايا النبات في كل أجزاء النبات من
مجموع خضري وثمار، ومن الجدير بالذكر أن نذكر أن الإنزيمات من حيث طبيعة تركيبها
إما بروتينية مثل الأميليز الذي يتدخل في تمثيل الكربوهيدرات ومثل البروتوليكتيك
الذي يقوم بدوره في تمثيل البروتينات، أو أن تكون معدنية وتسمى مرافقات وتضم في
تركيبها ذرات معدنية كالحديد أو النحاس أو الزنك أو المنجنيز، أو أنها تحتوى على
جزيئات عضوية وهي حينئذ تصنف كفيتامينات
توجد العديد من الإنزيمات التي تحتوى على
عنصر النحاس ومنها: فينوليز ، لاكسيز ، أسبارتيك أسيد أوكسيديز ، داي أمين
أوكسيديز ، سيتوكروم أوكسيديز ، سوبرأوكسيد ديسميوتيز ، بلاستوسيانين.
وإنزيم الفينوليز ( ويعرف بــ تيروسينيز) ، وإنزيم بولى فينول أوكسيديز يحفزان إثنين من العمليات الحيوية بالنبات وهما هدرجة الفينولات الأحادية إلى فينولات ثنائية ومن ثم أكسدتها في تفاعل ثانى إلى كينونات
![]() |
دور إنزيم التيروسينيز في تمثيل الفينولات إلى كينونات Tyrosinase function |
وإنزيم اللاكسيز والمعروف بــ "بى داي فينول
أوكسيديز" يقوم بتحفيز أكسدة الكينونات إلى بولي فينولات ومنها بيروجالول ،
جواياكول ، هيدروكينون
البولى فينولات الناتجة من أكسدة إنزيم اللاكسيز للكينونات
ولا يتم هذا التفاعل على الفينولات الأحادية، وكلا الإنزيمين اللاكسيز والفينوليز يحتويان في تركيبهما على النحاس في صورتين إما مؤكسدة Cu++ أو في صورة مختزلة Cu+ ليمكن أكسدتها في وجود الأكسجين أو قاعدة، والصورة الأولى يتواجد عليها عنصر الكالسيوم أيضاً في حالة في غياب الأكسجين أو القواعد.
وعليه وجد أن البولى فينولات الناتجة من
عمليات الأكسدة السابقة تدخل في عملية اللجننة (تمثيل اللجنين).
من المعروف أن اللجنين يتكون أساساً من الكربوهيدرات الناتجة من عملية البناء الضوئى ويبدو أو الخطوة الآولى هي تكوين الحامضين الأمينيين فينيلانين والتيروسين واللذين يتحولا إلى العديد من مشتقات حمض السيناميك والتي باختزالها تنتج الكحولات التالية: السينابايل ، باراكومارايل ، الكونيفيرايل والتي منها يبدأ تخليق اللجنين كما بالشكل التالي:
![]() |
| خطوات التخليق الحيوى لبلمرة الليجنين |
في حال نقص عنصر النحاس في النبات يقل نشاط الإنزيمات الفينولية المؤكسدة السابق ذكرها فيقل تخليق اللجنين وتبدو أطراف النبات ضعيفة والنبات متهدلاً نتيجة هذا الضعف وهذا يؤثر بشدة على قدرة الجذور على امتصاص العناصر ونقلها للمجموع الخضرى.
وفي حالة النقص هذه يقل تخليق القلويدات
والكينونات التي لها دور الوسيط في انتقال الإلكترونات في عملية التمثيل الضوئى
والتنفس، وتبدأ أعراض تبقعات كريمية اللون على النباتات التي تعانى النقص نتيجة
إعاقة عملية البناء الضوئى فيقل تكوين الكلوروفيل وصبغات الكاروتينات بتلك الأجزاء
المصابة من النبات وتتلف وتظهر أعراض النقص كتبقعات سمية.
وقد وجد أيضاً أن إنزيم "أسكوربيك أسيد أوكسيديز" الذى يحتوى على النحاس يتواجد في جدر الخلايا والسيتوبلازم والذي يقوم بتحفيز أكسدة الأسكوربيك أسيد إلى داهيدروأسكوربيك أسيد كما بالشكل التالي ، ولم يعرف بعد دور هذا التحول فسيولوجياً ولكن يرجح علاقته بتنفس المبتوكوندريا ووظيفياً يعتبر مرتبطاً بنضج الثمار وتحفيز النمو والمقاومة للأمراض.
![]() |
| دور إنزيم أسكوربيك أوكسيديز |
ومن ناحية أخرى يقوم إنزيم داي أمين أوكسيديز
بتحفيز أكسدة الأمينات والتي تعد الخطوة الأولية لتخليق الأمينات المتعددة
والقلويدات وربما الأكسينات من بعد وهذا يكسبه دوراً حيوياً بالخلية ولنمو النبات.
![]() |
| دور إنزيم سوبر أوكسيد يسميوتيز في تحرير الأكسجين |
أما إنزيم السيتوكروم أوكسيديز فهو يحتوى على
النحاس والحديد في تركيبه وله دور في نقل الألكترونات داخل الميتوكوندريا وكذلك
تعتمد حركة انتقال الأنيونات في الخلية عليه.
![]() |
| إنتقال الإلكترونات في عملية التمثيل الضوئى |
للنحاس دور كبير في تمثيل النيتروجين
والكربوهيدرات فقد لوحظ أن النباتات التي تظهر بها أعراض نقص النحاس يتراكم بها
محتوى الأحماض الأمينية مع نقص في تمثيل البروتين والمرجح أن النحاس يتحكم في فعل
الإنزيمات التي تقوم بدور في تخليق الأحماض النووية.
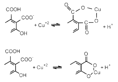
عنصر النحاس هام جداً لقيام بكتريا الريزوبيوم Rhizobium المثبتة للنيتروجين الجوي (بكتريا النترتة Nitrifying bacteria) بدورها حيث أنه مع عنصر الكوبلت لهما أهمية في تخليق الليجوموجلوبين leghemoglobin في الخلايا وهذا ما تفضله المحاصيل البقولية من زيادة لمحتوى النحاس بالتربة ويرجع هذا الدور بأن نقص النحاس يخفض من نشاط إنزيم سيتوكروم أوكسيديز في الخلايا والذي يقوم بدور سحب الأكسجين داخل الخلايا لإتمام عملية تثبيت النيتروجين وعليه فيعتبر النحاص من العناصر الصغرى التي لها دور حيوي أيضاً في التنفس، وأيضا يقوم النحاس بدور مهم كمنظم لعملية البخر نتح من الأوراق مما يسمح بفرق في الضغط دائماً في عمود الماء من الجذور للأوراق مما يسمح دائماً بتدفق العناصر الغذائية للأوراق وعملية البخر نتح هامة لحياة النبات لذلك يتدخل فيها بالتربة مجموعة من العناصر الصغرى مجتمعة هي النحاس والزنك والبورون وبناءاً عليه فإن حدوث نقص في تدفق ومستوى المحلول الغذائي داخل النبات وبالتالي تعطل العمليات الفسيولوجية به فنبحث حينها عن نقص تلك العناصر الثلاثة بالتربة والنبات ويبين الشكل التالى تلك العلاقة في محصول الفجل فيوضح أن النباتات التي تحتوى على مستوى منخفض من النحاس والزنك تعانى من الجفاف والذبول ولا يظهر تأثير البورون في المراحل الأولى للنبات بينما يظهر في مراحل متأخرة وتفسير ذلك أن النحاس بدوره في فعل إنزيمات الفينوليز واللاكسيز فيؤدى نقصه إلى تثبيط عملية اللجننة فتنهار أوعية الخشب وتتسدد فيتوقف تدفق الماء.
![]() |
| تأثير نقص عناصر النحاس والزنك والبورون على ذبول وجفاف محصول الفجل |
تظهر أعراض نقص النحاس في معظم المحاصيل
وأكثرها حساسية البقوليات والحبوب النجيلية و أشجار الفاكهة خاصة الموالح والتفاح
والكمثرى.
تكون أعراض النقص أكثر ظهوراً على الأوراق
الجديدة والأقل عمراً في صورة تشوه شكل الورقة ثم موتها أو ظهور أعراض الأصفرار مع
بقع بنية وصفراء في القمم النامية للفروع أما في الموالح فنادرا ما تظهر أعراضه
على الأوراق أولاً ولكن تظهر على الثمار في صورة تبقعات أو بقع جرب وقد تظهر على
الأوراق أولاً وبزيادة النقص تظهر بالثمار ، الأعراض على الثمار متتنوعة الشكل فقط
تظهر في صورة نقط أو بقع لونها بنى إلى رمادى وأحياناً أسود وقد تتشقق تلك البقع،
أما في الفروع فتظهر إفرازات صمغية وقد تتلون الأطراف باللون الأحمر، تظهر أعراض
نقص النحاس عادة في موعد التزهير والعقد خاصة في المواسم الغزيرة الحمل وقد وجد أن
النقص ينجم عنه أيضاً انخفاض في سمك قشرة
الثمار وتشوه في الشكل ونقص في الحجم
وانخفاض في نسبة العصير وأكثر أصناف الموالح تأثراً بنقص النحاس هو
البرتقال.
جفاف القمم النامية للنبات يعتبر عرض متقدم
لنقص النحاس مما يستلزم تحليل الأوراق وتطبيق التغذية الورقي بالرش والتسميد
الأرضى بكميات ومواعيد محددة بالأسمدة المركبة المحتوية على عنصر النحاس.
قد يحدث زيادة في مستوى عنصر النحاس بالتربة
والأوراق لأكثر من 300 جزء بالمليون محدثة أعراض سمية ويزداد حدوثها في الأراضى
الحامضية ويعالج ذلك برفع حموضة التربة للوصول إلى 6 بإضافة الجير، وجد أيضاً أنه
غالباً ما يصحب زيادة مستوى النحاس للسمية مع نقص حاد في عنصر الحديد بالتربة ويرجح أن زيادة النحاس تكون عامل في
أكسدة الحديد ونقص امتصاصه عن طريق الجذور فتظهر أعراض نقص الحديد مع سمية النحاس،
كما وجد أن زيادة مستوى النحاس يقلل من امتصاص الفسفور.
- أصل ومحتوى وحركة عنصر النحاس في
التربة:
يتواجد النحاس بالتربة بتركيز يصل إلى 70 جزء فالمليون معظمها في صورة أملاح كبريتيد ومنها الكالكوسيت (كبريتيد نحاس ثنائى)SCu2 والكالكوبيرايت (حديدو كبريتيد النحاس) S2FeCu والكوفيليت (كبريتيد النحاس الأحادية) SCu ، كما أن هناك صوراً أخرى ولكن أقل ثباتاً بالتربة ومنها الكوبرايت (أكسيد النحاس الأحادى) Cu2O والتينورايت (أكسيد النحاس الثنائى) CuO والنحاس في صورة الكربونات مثل المالاكيت Co2Cu.Cu(OH)2 والأزورايت (Co3)2Cu3(OH)2 وكميات قليلة من سلفات النحاس وسليكات النحاس وفوسفات النحاس وكلوريد النحاس، وبصفة عامة يتباين تركيز كاتيون النحاس من تربة لأخرى في حدود من 5 حتى 50 جزء بالمليون من مصادره المعدنية والعضوية يتم تبادلها على حبيبات الطين في محلول التربة.
- العوامل المؤثرة على ديناميكية (حركة)
عنصر النحاس بالتربة:
يجب أن نضع فاعتبارنا أن النبات له حد أدنى من احتياجات النحاس لكي يتحقق
الامتصاص ومن ثم التغذية السليمة به من التربة ويجب أن نفهم أن رفع معدل الامتصاص
لا يعتمد على مستوى النحاس بالتربة والكميات المضافة منه وفقط ولكن قد يتوفر النحاس بكمية كافية بالتربة
لتغذية سليمة ولكن هناك عوامل تحدد كفاءة الامتصاص والاستفادة منه ومنها مستوى
المادة العضوية بالتربة ودرجة حموضتها PH ومحتوى
التربة من العناصر الأخرى أيضاً مثل الكالسيوم والفسفور والنيتروجين والحديد
والألمنيوم والزنك والموليبدنم.
** محتوى المادة العضوية في التربة وتأثيرها على حركة النحاس وامتصاصه من التربة: ارتفاع محتوى التربة من المادة العضوية يؤدى لتثبيت النحاس بارتباطه بها وإنتاج هيومات النحاس من خلال مجموعة الكربوكسيليك والكربونيل الفينولية أو فيما يعرف بالبورفيرين المتواجدة في مركبات الهيوميك بالتربة كما قد تدخل الأحماض الأمينية ومجاميعها في تلك التفاعلات، ومن هنا يمكن القول بإن هذا سبب ظهور أعراض نقص النحاس في الأراضى العضوية ولكن بعض الأبحاث أشارت لتيسر النحاس أحيانا في بعض الأراضى العضوية وعليه فإن هيومات النحاس ليست لها ثبات واحد في معظم أنواع الأراضى الغنية بالمادة العضوية فقد وجد أنه متاح في الأراضى المعدنية الغنية بالمادة العضوية وقد ترجع أعراض نقصة بالأراضى العضوية لقلة محتوى التربة من عنصر النحاس بالأساس وليس بسبب تثبيته، ويبين الشكل التالى تفاعلات مقترحة لمجموعات الفعالة لحمض الفولفيك مع كاتيون النحاس:
![]() |
| ارتباط كاتيون النحاس بحمض الفوليك |
** حموضة التربة وتأثيرها على حركة النحاس وامتصاصه من التربة: يتاح النحاس ويتوفر للنبات كلما قلت حموضة
التربة عند رقم 5 فأقل وكلما زادت الحموضة
فاتجاه القلوية يقل النحاس المتاح بمحلول التربة
ويقل تيسره للنبات حيث يتحول إلى هيدروكسيد النحاس ويشابهه في ذلك عنصري
الحديد والمنجنيز، إلا أنه رغم توفره في الحموضة المنخفضة قد يتعرض للفقد بالغسيل.
** مستوى
الكالسيوم وتأثيره على حركة النحاس وامتصاصه من التربة: وجد في الأراضي الكلسية التي ترتفع بها
كربونات الكالسيوم يحدث خلل في مستوى وكفاءة البوتاسيوم ويترتب على ذلك بطء حركة عنصر
النحاس ومن ثم تظهر أعراض نقصه.
- تداخل وتفاعل النحاس مع العناصر
الغذائية الأخرى:
-
![]() |
| تأثير التسميد بالسوبر فوسفات على محتوى النحاس بأوراق البرتقال |
- النيتروجين: زيادة مستوى عنصر النيتروجين بالنبات واتجاهه للنمو السريع قد تؤدى لظهور أعراض نقص عنصر النحاس المتمثلة في التبقعات أو التقرحات نتيجة استهلاكه مع زيادة النمو بعد التسميد النيتروجينى ولذا يلزم الإمداد والتغذية بكميات من عنصر النحاس باستمرار ويظهر هذا واضحاً عند تسميد محاصيل العلف بكميات كبيرة من النيتروجين فيقل مستوى النحاس في أوراقها عن المثالى فيحدث نقص في مستوى عنصر النحاس المثالى في دماء حيوانات المزرعة المتغذية على تلك الأعلاف (تقل عن 0.65 مجم/ لتر)، وقد وجد أن الزيادة بالتسميد النتروجينى في الأراضى القليلة المحتوى من عنصر النحاس يزيد المحصول من القمح حتى حد معين وأن الزيادة في التسميد النيتروجينى عن 80 وحدة/ هكتار في تلك الأراضى يقلل الإنتاج، والشكل التالى يوضح أن التسميد بــ 10 كجم للهكتار بسلفات النحاس مع التسميد حتى 100 كجم للهكتار يقلل المحصول في القمح بينما رفع التسميد بسلفات النحاس عند مستوى التسميد النتروجينى نفسه يزيد المحصول للضعف.
![]() |
| تأثير مستويات من التسميد النيتروجينى والنحاسى على محصول القمح |
- الألمنيوم: في دراسات أخرى لبعض العناصر وتأثيرها على عنصر النحاس في القمح مثل الحديد والزنك والألمنيوم وجد أن الامتصاص الطبيعى لعنصر النحاس من المحلول المغذى يكون مع التركيز 0.02 جزء بالمليون وكلما زاد تركيز الألمنيوم ليتعدى 1 جزء بالمليون يقل امتصاص النحاس من المحلول المغذى
- الكوبلت: كما وجد أن زيادة عنصر الكوبلت في النبات
بدرجة كبيرة تؤدى لنقص في مستوى عنصر النحاس ويتضح هذا جلياً في محاصيل الأعلاف
مما يستوجب التوازن بينهما وإمداد النبات بالنحاس.
- الكالسيوم: الكالسيوم من العناصر المضادة للنحاس فزيادته بالتربة تقلل من امتصاص عنصر النحاس والاستفادة منه، وقد وجد أيضاً عند زيادة نسبة الجير overliming عند استصلاح الأراضي الحامضية يحدث نقص حاد في عنصر النحاس وباقي العناصر الصغرى نتيجة تغير في قوام التربة وارتفاع قلويتها.
- الزنك والحديد والموليبدنم: إن النقص الحاد في عنصر النحاس بالتربة يعيق من امتصاص الجذور لعنصر الزنك لذا فإن دوماً أعراض نقصهما تكون متصاحبة ورغم توفر الزنك بالتربة قد تظهر أعراض نقصه على النبات نتيجة الندرة في مستوى عنصر النحاس بالتربة وخلايا النبات لذلك فتصحيح نقص النحاس يصحح نقص الزنك بالنبات، كما وجد أن التناسب بين كميات الزنك والموليبدنم مع النحاس في محصول الخس بالزراعة المائية تؤثر على المحصول النهائي للخس، كما يجب أن نضع بالإعتبار أن الحديد والموليبدنم من العناصر المضادة للنحاس فزيادتهما عن التركيز المثالى بالتربة يقلل من امتصاص عنصر النحاس والاستفادة منه، ففي العنب وجد أن الرش المستمر بالمبيدات الفطرية النحاسية أدى لظهور أعراض نقص الحديد.















